EXPERIENCIA EN EL MANEJO DEL TUMOR SÓLIDO PSEUDOPAPILAR DE PANCREAS EN UN CENTRO DE REFERENCIA. ESTUDIO OBSERVACIONAL

Adel Al Awad Jibara1, Alfredo José Ramírez2, Vianny G. Valera García3
  1. Cirujano HepatoBiliar y Pancreático. Doctor en Ciencias Médicas.Profesor Titular Jubilado de Anatomía Humana – La Universidad del Zulia – Maracaibo. Correo-e: adelalawadj@gmail.com
  2. Cirujano General. Cirujano HepatoBiliar y Pancreático. Profesor Asistente de Cirugía – Universidad de Los Andes – Mérida.
  3. Cirujano General. Fellow Cirugía HepatoBiliar y Pancreática. Hospital General de Cabimas – Zulia.


RESUMEN

El tumor sólido pseudopapilar de páncreas tiene una incidencia de 0,13-2,7%, afectando preferentemente a mujeres jóvenes. Presentamos la experiencia en el manejo de tumores sólidos pseudopapilares de páncreas durante 10 años en el Hospital Coromoto de Maracaibo. Métodos: Estudio retrospectivo realizado en el Hospital Coromoto de Maracaibo desde enero 2010 hasta diciembre 2019. Se analizaron las variables edad, sexo, ubicación del tumor, procedimiento quirúrgico, tamaño del tumor, tiempo quirúrgico, tiempo de hospitalización y complicaciones.Resultados: De 183 casos totales de cirugía pancreática,15 casos presentaron diagnóstico anatomopatológico de tumor sólido pseudopapilar, representando un 8,20% del total de las cirugías pancreáticas; con edades comprendidas entre 15 a 56 años, con una media de 27,93 de los cuales el 93,33% fueron del género femenino. La ubicación más frecuente fue el cuerpo y la cola del páncreas con un 53,33%. El procedimiento quirúrgico más empleado fue la pancreatectomía distal en 8 casos. El tamaño promedio de los tumores fue de 6,47cm y el tiempo quirúrgico empleado fue de 254 minutos para las pancreatectomías distales y 412 minutos para los procedimientos de Whipple, con una media de hospitalización de 4,6 y 7,2 días respectivamente. Presentaron complicaciones 2 pacientes y sin decesos. Conclusiones: El tumor sólido pseudopapilar es una neoplasia pancreática de comportamiento incierto, con una baja incidencia entre todos los tumores de páncreas, donde la laparoscopia es un método de abordaje seguro en las pancreatectomías distales, sin diferencias en estancia hospitalaria y tiempo quirúrgico. La resección quirúrgica con márgenes libres es curativa.

Palabras clave: Tumor, Frantz, Pseudopapilar, Sólido, Páncreas.

EXPERIENCE IN THE MANAGEMENT OF THE SOLID PSEUDOPAPILLARY TUMOR OF THE PANCREAS IN A REFERENCE CENTER


ABSTRACT

The solid pseudopapillary tumor of the pancreas has an incidence of 0.13-2.7%, preferentially affecting young women. We present the experience in the management of solid pseudopapillary tumors of the pancreas for 10 years at the Coromoto Hospital in Maracaibo. Methods: Retrospective study carried out at the Coromoto Hospital in Maracaibo from January 2010 to December 2019. The variables age, sex, tumor location, surgical procedure, tumor size, surgical time, hospitalization time and complications were analyzed. Results: Of 183 total cases of pancreatic surgery, 15 cases had a pathological diagnosis of a solid pseudopapillary tumor, representing 8.20% of the total of pancreatic surgeries; with ages ranging from 15 to 56 years, with an average of 27.93 of which 93.33% were female. The most frequent location was the body and tail of the pancreas with 53.33%. The most used surgical procedure was distal pancreatectomy in 8 cases. The average size of the tumors was 6.47cm and the surgical time used was 254 minutes for distal pancreatectomies and 412 minutes for Whipple procedures, with a mean hospital stay of 4.6 and 7.2 days, respectively. Two patients presented complications and no deaths. Conclusions: The solid pseudopapillary tumor is a pancreatic neoplasm of uncertain behavior, with a low incidence among all pancreatic tumors, where laparoscopy is a safe approach to distal pancreatectomies, without differences in hospital stay and surgical time. Surgical resection with free margins is curative.

Key words: Tumor, Frantz, Pseudopapillary, Solid, Pancrease.


INTRODUCCIÓN

El tumor sólido pseudopapilar (TSP) de páncreas tiene una incidencia que oscila desde el 0,13 hasta el 2,7% de todos los tumores pancreáticos. Descrito por primera vez por Frantz en 1959. Es una entidad poco frecuente, se caracteriza por afectar preferentemente a mujeres jóvenes en la segunda y tercera décadas de la vida. La localización es variable, aunque es más frecuente en el cuerpo y cola. La forma de presentación clínica más habitual son las molestias abdominales asociadas a una masa palpable, aunque también puede ser asintomático.1,2

En el examen macroscópico aparecen como tumores sólidos con hemorragia y degeneración quística en las superficies cortadas, por lo que se denominan tumores sólidos y quísticos. Microscópicamente, las neoplasias consisten en células con núcleos pequeños y redondos y citoplasma eosinofílico dispuestos en un patrón pseudopapilar a lo largo de núcleos fibrovasculares. A menudo se observan necrosis y hemorragia, y en ocasiones son lo suficientemente extensas como para afectar a todo el tumor. También se observan a menudo hendiduras de colesterina y células gigantes de cuerpo extraño.3

Suelen presentar un comportamiento benigno, si bien en un 15% de los casos desarrollan metástasis, por lo que deben considerarse de comportamiento incierto. El tratamiento debe ser la resección radical, incluso en presencia de metástasis o recidiva. Puede usarse la cirugía conservadora de parénquima en casos seleccionados. El pronóstico de estos pacientes es muy bueno, con un 95 % de curación completa tras la resección. Los pacientes deben ser controlados anualmente durante 5 años.2

Objetivo

Presentar la experiencia en el manejo de los tumores sólidos pseudopapilares de páncreas durante 10 años en el Hospital Coromoto de Maracaibo – Venezuela.

Materiales y Métodos

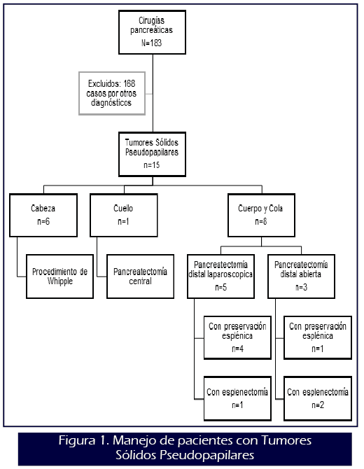
Se realizó una búsqueda en la base de datos de la oficina de archivo de historias médicas del Hospital Coromoto de Maracaibo de todos los pacientes a quienes se les realizó alguna cirugía pancreática por cualquier causa, obteniendo una población de 183 casos desde enero 2010 hasta diciembre 2019. Posteriormente se hizo una revisión de los registros clínicos y se excluyeron aquellos casos cuyos diagnósticos fueron tumores periampulares, tumores malignos de páncreas, tumores quísticos, tumores neuroendocrinos, pseudoquistes pancreáticos y traumatismos pancreáticos. Para evitar sesgos, se seleccionó como muestras a todos aquellos pacientes que acudieron consecutivamente a la consulta de cirugía hepatobiliar y pancreática cuyos resultados anatomopatológicos arrojaron tumor sólido pseudopapilar de páncreas con confirmación por estudios de inmunohistoquímica, siendo un total de 15 casos (8,20%) (Figura 1)

Los datos se obtuvieron a través de un análisis descriptivo y porcentual de las diferentes variables obtenidas en los registros clínicos, notas operatorias, registros anestésicos y estudios anatomopatológicos: edad, sexo, ubicación del tumor, procedimiento quirúrgico, tamaño del tumor, tiempo quirúrgico, tiempo de hospitalización y complicaciones. Asimismo se realizó una revisión de la literatura actual. (Tabla 1)

Cabe destacar que todos los procedimientos fueron llevados a cabo por los autores.

Resultados

Se estudiaron 15 casos con edades comprendidas entre 15 a 56 años, con una media de 27,93 años, de los cuales el 93,33% representaba al sexo femenino.

La ubicación más frecuente fue el cuerpo y la cola del páncreas con 8 casos que representan el 53,33%, seguido de la cabeza con 6 casos (40%) y por último el cuello con 1 caso (6,67%).

El procedimiento quirúrgico más empleado fue la pancreatectomía distal con o sin esplenectomía en 8 casos, representando el 53,33%, de los cuales 5 casos (62,5%) se realizaron por vía laparoscópica. Asimismo, se realizaron 6 procedimientos de Whipple (40%) y una pancreatectomía central con pancreato-yeyunostomía distal (6,67%).

El tamaño promedio de los tumores fue de 6,47cm (rango de 3-17cm).

El tiempo quirúrgico empleado tuvo un promedio de 254 minutos para las pancreatectomías distales y de 412 minutos para los procedimientos de Whipple, en los cuales los pacientes tuvieron una media de hospitalización de 4,6 días y 7,2 días respectivamente. Ameritaron unidad de cuidados críticos 10 pacientes. Dos pacientes presentaron complicaciones inherentes a la cirugía (13,33%), las cuales se resolvieron satisfactoriamente, y sin mortalidad. (Tabla 2, 3 y 4)

Discusión

Las lesiones quísticas del páncreas abarcan una variedad de patologías, desde tumores casi totalmente benignos, pasando por los premalignos, hasta los francamente malignos identificándose aproximadamente en el 1% de pacientes que se realizan una tomografía computada de abdomen. Debido al mayor acceso de la población a las diferentes modalidades de imágenes, se han venido detectando cada vez más quistes de páncreas de forma incidental.

Al identificar una lesión quística en el páncreas se debe definir su ubicación y configuración, lo que nos va a permitir diferenciar un tumor quístico de un pseudoquiste. Luego se debe tratar de distinguir la variedad de tumor quístico, esto se puede lograr buscando las diferentes características individuales que presenta cada variedad de tumor en las imágenes4.

“Tumor de Frantz”, “Tumor quístico-sólido”, “Neoplasias epiteliales papilares y sólidas”, son algunas de las otras denominaciones dadas al tumor sólido pseudopapilar. El término SPPT (tumor sólido pseudopapilar pancreático, por sus siglas en inglés) fue introducido en 1996 por la OMS para la clasificación internacional de tumores del páncreas exocrino8.

El tumor sólido pseudopapilar de páncreas tiene una incidencia que oscila desde el 0,13 hasta el 2,7% de todos los tumores pancreáticos, sin embargo, en el presente estudio se reporta una incidencia de 8,20%, contrastando incluso con otros registros a nivel nacional donde alcanza un 1,37%11. Con base en esto, podemos mencionar que en función del número de pancreatectomías anuales se pueden clasificar a las instituciones como centros de muy bajo volumen (<1), bajo (1-2), medio (3-5), alto (6-16) y muy alto (>16); así mismo se puede clasificar al cirujano de bajo volumen (<5 operaciones/año) y de alto volumen (> o =5 operaciones/año)12 teniendo estos parámetros una relación inversamente proporcional a las tasas de morbimortalidad establecidas; es decir, mientras mayor número de procedimientos menor porcentaje de morbimortalidad. En nuestra institución se realiza un promedio de 18 cirugías pancreáticas anuales, lo cual la cataloga como un centro de “muy alto volumen” y al mismo tiempo clasifica al cirujano como uno de “alto volumen”, dando así una vasta experiencia en los distintos procedimientos que involucran al órgano y explicando la alta incidencia de estos tumores en la institución; además, categoriza al hospital como centro de referencia nacional en cirugía pancreática.

Los TSP característicamente afectan a mujeres jóvenes, con una relación mujer-hombre 10:1.7; usualmente en la tercera década de la vida, con un rango de edad promedio de 23-35 años, y con menos frecuencia en mujeres u hombres mayores5. En estos aspectos, nuestro estudio no escapa las estadísticas establecidas a nivel mundial.

A pesar que su etiología aún resulta desconocida se postula un origen hormonal puesto que aparecen más frecuentemente en mujeres en edad reproductiva; esta teoría se apoya además en la inmunohistoquímica (positividad para receptores de progesterona) y en la estrecha imbricación del tejido pancreático y genital durante la organogénesis precoz6.

Suelen ser de crecimiento lento y de curso indolente. Las características de presentación suelen ser vagas e incluyen dolor abdominal, sensación de plenitud, náuseas y vómitos debido a un tumor voluminoso (tamaño medio de 11 centímetros), que comprime las estructuras locales en la parte superior del abdomen6. En el presente estudio, el diámetro promedio de los tumores fue de 6,47cm (rango de 3-17cm), con un promedio de 5,17cm para los tumores ubicados en la cabeza, y de 7,75cm para los del cuerpo y la cola. En comparación con otro estudio realizado en Venezuela donde el tamaño promedio fue de 10,4cm11, y distintas publicaciones en otros países donde en Perú el diámetro de los tumores tuvo un rango entre 5,1 y 10cm15, en Corea del Sur de 7.5 cm16, en Norteamérica 9,4x6,8cm17, y en China 7.87 cm18; el tamaño promedio reportado en este estudio se encuentra dentro de los parámetros establecidos, aun cuando se han reportado medidas mucho mayores.

El tumor se puede encontrar en cualquier parte del páncreas, pero se localiza más comúnmente en el cuerpo y la cola.8 El diagnóstico se realiza mediante exámenes complementarios de ecografía, tomografía computarizada y, en ocasiones, con la ayuda de la resonancia magnética de abdomen, que muestra una masa voluminosa en la topografía del páncreas, con límites claros, una cápsula gruesa, de patrón mixto sólido-quístico, a veces con calcificaciones o tabiques internos. La resonancia magnética revela, con mayor claridad que la tomografía computarizada, características como la cápsula tumoral y las áreas hemorrágicas.7

Los estudios adicionales empleando la eco-endoscopia nos permiten realizar confirmación histológica prequirúrgica sobre todo en pacientes con alto riesgo quirúrgico, que requieran resecciones complejas o que tengan imágenes no concluyentes permitiendo obtener imágenes detalladas de las características de la lesión y de las estructuras adyacentes, además de obtener muestras dirigida de material histológico mediante la punción aspiración con aguja fina (PAAF). Se debe tener en cuenta la posibilidad de complicaciones relacionadas con este abordaje, como ruptura, infección, siembras peritoneales o recurrencia tardía y las limitaciones de la prueba al depender del operador.10

En el estudio de inmunohistoquímica, más del 90% de estas lesiones son positivas para vimentina, enolasa específica de neuronas, alfa 1-antitripsina, alfa 1-antiquimotripsina o receptores de progesterona (Figura 2). Otras características inmunohistoquímicas son la localización nuclear de beta-catenina y la pérdida de E-caderina de la membrana citoplásmica. Estos tumores no son positivos para cromogranina, CK 19, o marcadores de células acinares, como la tripsina.10

La estrategia predominante de tratamiento curativo es la resección quirúrgica completa con márgenes libres de tumor, cuando el tumor surge de la cabeza del páncreas está indicada la pancreatoduodenectomía, mientras que, si el tumor surge de la cola del páncreas, la pancreatectomía distal es suficiente.9 Con base en esto, se aportan las ventajas de la cirugía mínimamente invasiva como el abordaje laparoscópico, el cual ofrece mayor destreza y movimiento al cirujano, mejor visualización de las estructuras, mayor acceso a la totalidad de la cavidad abdominal, reduce el riego de infección de sitio quirúrgico, menor dolor postquirúrgico, menos cicatrices externas, reducción de complicaciones postoperatorias como síndromes adherenciales, y menor pérdida de sangre.13 En el caso del abordaje del páncreas distal, es la técnica de elección ya que sus principales ventajas sobre la pancreatectomía distal abierta son las siguientes: mejoría de la exposición quirúrgica, la visualización de las estructuras y la recuperación posquirúrgica; disminución del sangrado y de la estancia hospitalaria; sin aumento del tiempo quirúrgico, las complicaciones posquirúrgicas ni el compromiso de los márgenes de resección.14 A pesar de no observar en este estudio grandes diferencias ni ventajas en cuanto al tiempo quirúrgico empleado y la estancia hospitalaria de los pacientes al compararse la técnica abierta con la laparoscópica como lo expresan los otros autores, si se observaron beneficios en cuanto al resto de los parámetros antes expuestos, sobre todo en la recuperación clínica postoperatoria del paciente. Hay que tener en cuenta que en el presente estudio separamos el alta clínica del paciente, traducido como el tiempo transcurrido desde el día de la cirugía hasta su recuperación postoperatoria satisfactoria; y el alta hospitalaria, que abarca hasta el día en el cual el paciente egresa de la institución. Es de este modo debido a que por normativas de la institución los pacientes foráneos sometidos a procedimientos complejos debían permanecer hospitalizados hasta la canalización de un domicilio privado para su estancia y monitoreo durante el postoperatorio mediato y hasta que el mismo pudiese regresar a su municipio o estado de procedencia.

El tumor tiene un pronóstico excelente después de la resección, incluso en presencia de enfermedad metastásica debido a sus características favorables, la supervivencia libre de enfermedad a 5 años puede alcanzar hasta el 95%. El seguimiento minucioso de los pacientes es obligatorio después de la resección quirúrgica para el diagnóstico temprano de recurrencia local y enfermedad metastásica.9

Durante el seguimiento de todos los pacientes (2-11 años) actualmente se encuentran con sobrevida libre de enfermedad el 93,3% de los casos; un paciente falleció a los 2 años de su intervención por neumonía complicada.

En conclusión, el tumor sólido pseudopapilar es una neoplasia quística pancreática de comportamiento incierto, clasificado como un tumor tipo bordeline, con una baja incidencia entre todos los tumores de páncreas, con prevalencia en mujeres jóvenes y el cual puede ubicarse en cualquier porción del órgano y por lo cual debería ser abordado por cirujanos experimentados y en un centro con experiencia en cirugía pancreática, siendo la laparoscopia un método de abordaje seguro en las pancreatectomías distales, sin diferencias significativa en estancia hospitalaria y tiempo quirúrgico, pero con notable ventaja en la recuperación postoperatoria de los pacientes. La resección quirúrgica con márgenes libres es curativa.

Conflicto de Intereses

Los autores declaran que no tienen ningún conflicto de intereses.

REFERENCIAS

1. Al Awad Jibara A, Galbán Morales JT, Ocando Gotera MJ, Loero Scottc AH, Molero Cárdenas FJ. Enfoque quirúrgico del tumor sólido pseudopapilar de páncreas. Cir Esp. 2012;90(4):261–272.

2. Martín Pérez E, Sabater Ortí L, Sánchez-Bueno F, editores. Cirugía Biliopancreática. Guías clínicas de la Asociación Española de Cirujanos. 2da edición. Madrid: Arán; 2018.

3. Beger HG, Matsuno S, Cameron JL, editors. Diseases of the Pancreas. Current Surgical Therapy. Berlin: Springer; 2008.

4. Targarona J, Aliaga L, Reynel M, Barreda L. Características clínico-patológicas de los tumores quísticos del páncreas. Rev Gastroenterol Peru. 2014;34(4):311-4

5. Vargas-Jiménez J, Ramírez W, Villalobos A, Salom F, Sauma J. Tumores sólidos pseudopapilares del páncreas en Costa Rica: serie de casos y revisión de tema. Rev Gastroenterol Peru. 2019;39(2):132-5

6. Barreda F, Liu H, Rodriguez L, Salmon B, Sulca E, Taxa L, et al. Tumor sólido pseudopapilar de páncreas: Tumor de Frantz. Horiz Med 2018; 18(2): 80-85.

7. De Moraes Coimbra B, Leite da Silva Júnior C, Neves Marcos V, Sabbagh de Hollanda E. Tumor de Frantz, um desafio diagnóstico: relato de caso. hu rev 2020;46:1-7.

8. Madjov R, Chernopolsky P, Bozhkov V, Madjova V. Solid Pseudopapillary Pancreatic Tumor – Tumor of Frantz. Surg. Gastroenterol. Oncol. 2019;24(5):259-264.

9. Duarte D, Delgado M, Feltes S, Kostinchok M, Ferreira M. Esplenopancreatectomia corporocaudal videoasistida por tumor de Frantz. Cir. parag. 2020;44(1):28-29.

10. Higuita AM, Correa JL, Becerra LF, Vanegas LF. Tumor seudopapilar sólido del páncreas. Rev Colomb Cir. 2016;31:234-38.

11. Coello C, Velandia C, Delgado R, Gil Mendoza A. Tumor sólido-pseudopapilar de páncreas. Revisión de datos de 15 años. Rev Venez Oncol 2017;29(2):130-135

12. Csendes A, Zamorano M, Matus J, Cárdenas G. Relación entre el volumen quirúrgico y los resultados postoperatorios en esofaguectomía y pancreatectomía por cáncer. Rev Chil Cir. 2016;68(2):194-200

13. Cevallos M, Farías J, Santos C, Vélez G. Factores de riesgo en cirugía laparoscópica. RECIMUNDO 2021;5(2):230-7

14. Salinas-Parra C, Valencia-Agudelo ME, Torres-Rincón RA, López-Zapata CA, Toro-Calle J. Pancreatectomía distal laparoscópica con preservación del bazo para el tratamiento del tumor pseudopapilar del páncreas: informe de un caso y revisión de la literatura. Iatreia 2017;30(2):208-215.

15. Cerron-Vela C, Moreno P, Araujo-Banchon W. Características tomográficas del tumor sólido pseudopapilar de páncreas (Tumor de Frantz). Revista de la Facultad de Ciencias Médicas de Córdoba 2020;77(1):1-6.

16. Choi SH, Kim SM, Oh JT, Park JY, Seo JM, Lee SK. Solid pseudopapillary tumor of the pancreas: a multicenter study of 23 pediatric cases. J Pediatr Surg. 2006 Dec;41(12):1992-5.

17. Cantisani V, Mortele KJ, Levy A, Glickman JN, Ricci P, Passariello R, et al. . MR Imaging Features of Solid Pseudopapillary Tumor of the Pancreas in Adult and Pediatric Patients. AJR. 2003 Aug 1;181(2):395–401

18. Yu PF, Hu ZH, Wang XB, Guo JM, Cheng XD, Zhang YL, et al. . Solid pseudopapillary tumor of the pancreas: a review of 553 cases in Chinese literature. World J Gastroenterol. 2010 Mar 14;16(10):1209-14